阿里公开自研AI集群细节:64个GPU,百万分类训练速度提升4倍
点击上方 "程序员小乐"关注,星标或置顶一起成长每天凌晨00点00分,第一时间与你相约每日英文It doesn't matter how slow y...
点击上方 "程序员小乐"关注, 星标或置顶一起成长
每天凌晨00点00分, 第一时间与你相约
每日英文
It doesn't matter how slow you are, as long as you're determined to get there, you'll get there.
不管你有多慢,都不要紧,只要你有决心,你最终都会到达想去的地方。
每日掏心话
忘了从什么时候,我们开始不断转发别人的微博。只因为这些说说像在描述自己的心情,或是写一些关于自己的故事和经历。
来自:量子位 报道 | 公众号 QbitAI |责编:乐乐

程序员小乐(ID:study_tech)第 798 次推文 图片来自百度
往日回顾:特全的Java学习路线图,值得收藏!
正文
从节点架构到网络架构,再到通信算法,阿里巴巴把自研的高性能AI集群技术细节写成了论文,并对外公布。
论文名为EFLOPS: Algorithm and System Co-design for a High Performance Distributed Training Platform,被计算机体系结构顶级会议HPCA 2020收录。阿里是国内唯一有论文收录的企业,论文作者之一、阿里资深技术专家蒋晓维在会议现场分享了论文内容。

除了展示AI集群技术细节,他还介绍了其如何为阿里巴巴内部业务和算法带来价值。这一集群已应用于阿里巴巴计算平台的人工智能训练平台(PAI),服务阿里巴巴的人工智能业务的模型训练:
能将拍立淘百万分类大模型的训练速度提升4倍,并首次支持千万分类模型的训练;在提升阿里巴巴翻译模型精度的同时,能将训练时间从100小时降低至12小时。
而且与世界顶级的AI计算系统相比,阿里的AI集群虽然使用了性能较低的硬件资源,但表现出了相当的性能。
这是阿里巴巴首次对外披露高性能AI集群的性能,具体情况如何?我们根据阿里研究团队提供的解读一一来看。
从业务出发,优化AI集群架构
由于深度神经网络的技术突破,围绕AI的技术研究,如AI算法模型、训练框架、以及底层的加速器设计等,引起越来越多的关注,而且应用越来广泛,已经落地到社会生活的各个方面。
“然而极少有人从集群架构角度探究过,AI业务的运行模式与传统大数据处理业务的差别,以及AI集群的架构设计应该如何优化,“阿里研究团队表示。

他们认为,虽然AI业务存在很强的数据并行度,但与大数据处理业务和高性能计算业务特征存在明显的不同。核心差别有两点:
第一,AI业务的子任务独立性很低,需要周期性地进行通信,实现梯度的同步;第二,AI业务的运行以加速部件为中心,加速部件之间直接通信的并发度显著高于传统服务器。
因此,在传统数据中心的服务器架构和网络架构上运行AI业务,会存在很多严重的问题。
具体来说,服务器架构问题,主要是资源配置不平衡导致的拥塞问题,以及PCIe链路的QoS问题。
一般情况下,传统服务器配备一张网卡用于节点间通信,为了支持AI业务会配置多个GPU。
但AI训练经常需要在GPU之间进行梯度的同步,多GPU并发访问网络,唯一的网卡就会成为系统的瓶颈。
此外,PCIe链路上的带宽分配与路径长度密切相关,长路径获得的带宽分配较低,而跨Socket通信的问题更加严重。

网络架构问题,主要在于AI训练中同步通信导致的短板效应。网络拥塞本是一个非常普遍的问题,相关研究已经持续了几十年。
但拥塞控制算法的最终目的,在于对两个碰撞的流进行限速,使其尽快达到均分物理带宽的目的,并不能解决AI训练集群的通信效率问题。
由于AI业务通信的同步性,每个通信事务的最终性能决定于最慢的连接。均分带宽意味着事务完成时间的成倍提升,会严重影响AI通信的性能。
基于此,阿里巴巴决定为AI业务自研高性能AI集群。
阿里AI集群的关键技术
阿里巴巴自研的高性能AI集群名为EFlops,关键技术一共有三个:网络化异构计算服务器架构、高扩展性网络架构、与系统架构协同的高性能通信库。
为了避免网卡上的数据拥塞,他们为每个GPU提供专用的网卡,来负责与其他GPU的通信。
此外,基于Top-of-Server的设计思想,将节点内加速器之间的通信导出到节点外,并利用成熟的以太网QoS机制来保证拥塞流量之间的公平性。
研究团队认为,随着加速器芯片计算能力的快速提升,对通信性能提出越来越高的需求,这种多网卡的网络化异构计算服务器架构将很快成为主流。
在网络架构层面,EFlops设计了BiGraph网络拓扑,在两层网络之间提供了丰富的链路资源,提供了跨层路由的可控性。

配合多网卡服务器结构,他们在EFlops项目中提出了BiGraph网络拓扑,其与传统的Fat-tree拓扑有相似之处,也存在根本的区别。
与Fat-tree拓扑类似的地方在于,他们将网络中的分为两部分(Upper和Lower),各部分之间通过Clos架构进行互连,形如两层Fat-tree拓扑的Spine和Leaf交换机。

与Fat-tree不同的是,他们在两部分交换机上都可以直接接入计算服务器;即每一个交换机都扮演了Fat-tree拓扑中的Spine和Leaf两个角色,最大跳步数为3。
也给BiGraph拓扑带来了两个重要的特性:
一方面,在两层交换机之间提供了丰富的物理链路资源。在N个计算服务器的系统中,两层交换机之间至少存在着N/2个物理链路可供使用。另一方面,接入不同层次的任意两个计算服务器之间的最短路径具有唯一性。
因此,他们可以充分利用这一特性,在通信库甚至更高层次进行服务器间通信模式的管理。比如,在建立连接的时候,选择合适源和目的服务器,来控制网络上的路径选择。
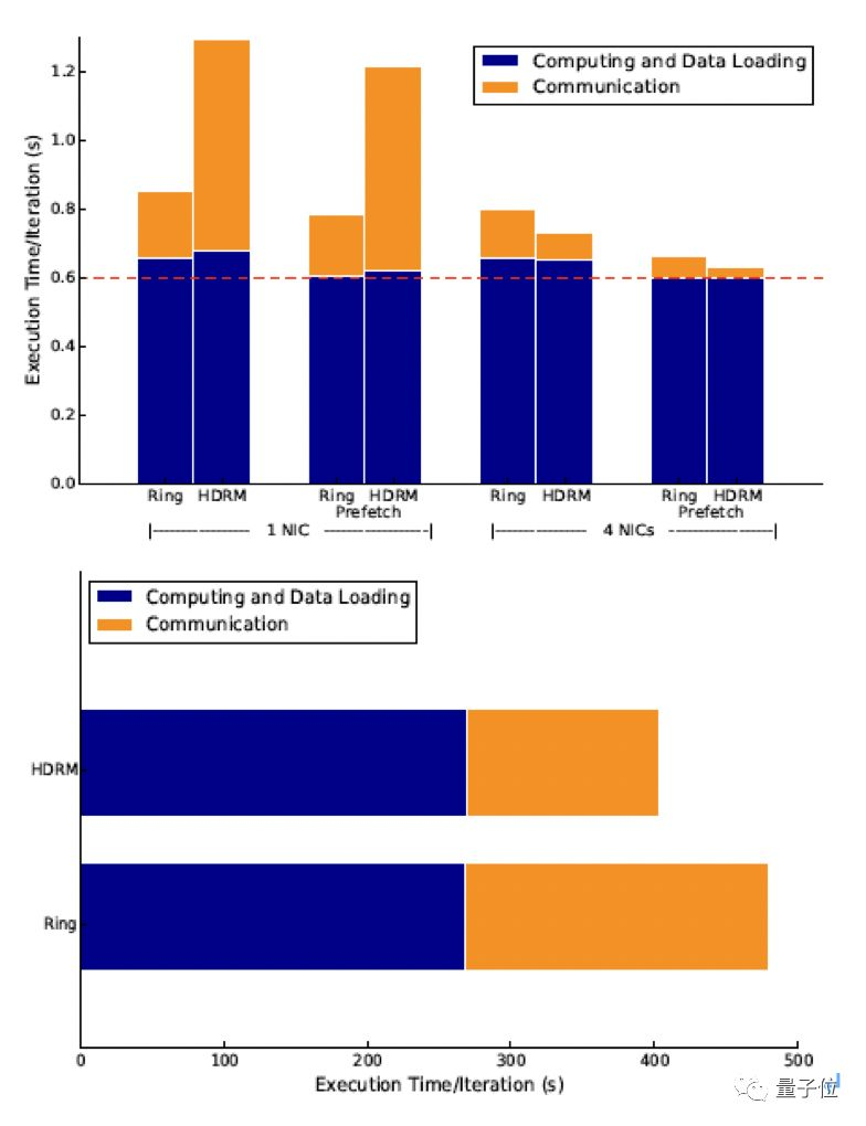
想要说清楚这一点,需要引入一个新的概念:Allreduce——数据并行训练场景下的最主要集合通信操作。
其中常用的通信算法有Ring-based(Ring)、Tree-based(Tree)和Halving-Doubling(HD)等。
在阿里巴巴的这篇论文中,主要关注的是Ring和HD,前者是应用范围最广的算法之一,后者是他们在这一研究中的优化对象。

Ring和HD算法在数据传输量上没有区别,都是2S;其中S是Message的大小。从通信次数角度看,Ring算法需要N-1个Step的通信,而HD算法只需要log2N个Step;其中N是参与节点个数。
而Ring算法只需要N个连接,而HD算法需要N*log2N个连接。需要特别指出的是,HD算法的每个Step只需要N/2个连接。
结合BiGraph拓扑的特性进行分析,可以看到:BiGraph拓扑两层交换机之间存在N/2个物理链路,而HD算法每个step需要N/2个连接。
BiGraph拓扑两层交换机之间最短路径的确定性,提供了一种可能性:将HD算法的连接和BiGraph拓扑的物理链路进行一一映射,避免它们之间的链路争用,以彻底解决网络拥塞问题。
基于此,他们也进一步提出了Rank映射算法,将HD算法的通信连接一一映射至BiGraph网络的物理链路,避免了网络的拥塞,该算法Halving-Doubling with Rank-Mapping(HDRM)已经在阿里定制的集合式通信库ACCL实现。具体步骤如下:

如此集群,性能如何?
为了评估EFlops系统的性能,他们部署了16个节点,共计64个GPU的训练集群。其中每个节点配置了4个Tesla V100-32G的GPU,以及4个ConnectX-5 100Gbps网卡。
网络环境按照BiGraph拓扑进行设计,其中8个物理交换机划分为16个虚拟交换机,分别部署于BiGraph的两层。
研究团队用MLPerf的ResNet50模型评估了集群性能,具体方式是在达到指定准确率之后,计算单位时间图片处理数量。
下图呈现了EFlops系统和单网卡系统的性能对比,包括全系统吞吐量和单GPU平均吞吐量。

可以看到,EFlops系统的性能基本达到了线性扩展,而单网卡系统的单位吞吐量明显随着规模逐步下降。
与世界顶级的AI计算系统相比,EFlops虽然使用了性能较低的硬件资源(V100-PCIe性能低于V100-SXM2约10%)也表现出了相当的性能。
此外,他们还分析了阿里巴巴内部应用的性能收益。以拍立淘百万分类模型为例,EFlops系统可以提升通信性能5.57倍,端到端性能34.8%。
因为通信量占比不高,HDRM算法提升通信性能43.5%,整体性能4.3%。对BERT模型而言,通信量明显高于拍立淘百万分类模型,仅HDRM算法就可以提升通信性能36%,端到端性能15.8%。

研究团队表示,可以预见,随着系统规模进一步增长,EFlops的性能收益将显著提升。基于64节点集群的收益,他们进一步搭建了512 GPUs的高性能AI训练集群。
初步的评测结果显示,基于ImageNet训练集,在Resnet50模型上,EFlops集群仍然能保持接近线性的扩展性。
阿里巴巴基础设施团队打造
EFlops集群一共有17名阿里的技术专家参与打造,大多来自阿里巴巴基础设施团队,平头哥团队提供支持。

论文的第一作者是董建波,毕业于中科院计算所,现在是阿里巴巴高级技术专家。论文的通讯作者是谢源——阿里巴巴达摩院高级研究员、平头哥首席科学家。
谢源是计算体系结构、芯片设计领域大牛级别的存在,研究方向是计算机体系结构、集成电路设计、电子设计自动化、和嵌入式系统设计,已发表过300多篇顶级期刊和会议论文。
在获得IEEE、AAAS、ACM Fellow称号之后,他在2月28日再次获得国际学术荣誉——IEEE CS 2020年度技术成就奖。

欢迎在留言区留下你的观点,一起讨论提高。如果今天的文章让你有新的启发,学习能力的提升上有新的认识,欢迎转发分享给更多人。
欢迎各位读者加入订阅号程序员小乐技术群,在后台回复“加群”或者“学习”即可。
猜你还想看
你能说出多线程中 sleep、yield、join 的用法及 sleep与wait区别吗?

关注订阅号「程序员小乐」,收看更多精彩内容
嘿,你在看吗?
昇腾计算产业是基于昇腾系列(HUAWEI Ascend)处理器和基础软件构建的全栈 AI计算基础设施、行业应用及服务,https://devpress.csdn.net/organization/setting/general/146749包括昇腾系列处理器、系列硬件、CANN、AI计算框架、应用使能、开发工具链、管理运维工具、行业应用及服务等全产业链
更多推荐

所有评论(0)